57 [pdf] METRIC CONVERSION TABLE AREA PRINTABLE HD DOWNLOAD ZIP
7 Conversion Table Charts Sample Templates , Dosage Calculation Nursing Buddy , Converting Length Units Poster (Freebie) by Learn Love , Converting Units With Conversion Factors YouTube , Blog Online reading and math enrichment program K5 , Units of measurement: Time, Length, Mass, Volume YouTube , How to Convert Measurements in Microsoft Excel YouTube , Tabla , Year 9 Maths Exam cheat sheet Cheat Sheet by Dragoneye34 , Measurement Quick Reference Sheet Equivalents Math , Measurement How will you measure up?. ppt video online , Power Transmission Industry Tip Sheets Conversion , Conversion of Units of Length Worksheet Turtle Diary , Unit Conversions Made Easy! aka Dimensional Analysis or , metric conversion table area,
Hi, many thanks for visiting this web to look for metric conversion table area. I am hoping the article that appears may be beneficial to you

images of area table conversion metric Sample Conversion Templates Table 7 Charts high quality jpeg wallpaper download
images of table area metric conversion Buddy Nursing Calculation Dosage high quality jpeg wallpaper download
images of metric conversion table area by Converting Love (Freebie) Poster Units Length Learn high quality jpeg wallpaper download

images of area metric conversion table Converting Factors Conversion Units With YouTube high quality jpeg wallpaper download

images of metric conversion area table Online Blog and K5 reading math program enrichment high quality jpeg wallpaper download

images of conversion area table metric Mass, Length, measurement: Time, Volume Units of YouTube high quality jpeg wallpaper download

images of table area conversion metric in Convert to Microsoft Measurements YouTube How Excel high quality jpeg wallpaper download

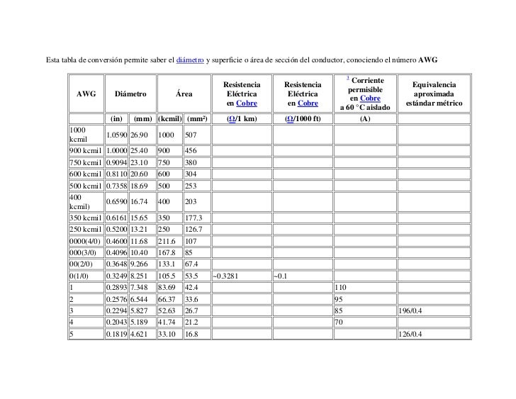
images of conversion area metric table Tabla high quality jpeg wallpaper download

images of metric area table conversion Dragoneye34 Year Maths Exam cheat sheet Sheet Cheat 9 by high quality jpeg wallpaper download
Belum ada Komentar untuk "57 [pdf] METRIC CONVERSION TABLE AREA PRINTABLE HD DOWNLOAD ZIP"
Posting Komentar